全球最长12年随访实锤!TIL联合疗法助患者实现"低复发、高生存"
小编 2025-09-10
TIL细胞疗法联合治疗助患者实现“低复发、高生存”,全球最长12年随访实锤
《癌症免疫疗法》杂志报道了一项重要研究——针对AJCC201分期III期黑色素瘤患者,评估过继细胞疗法(TIL联合IL-2)辅助治疗效果的长期随访结果。
数据显示:在平均随访114.8个月(近10年)后,TIL联合IL-2治疗组的中位生存期达32.6个月,较单纯IL-2治疗组的20.5个月显著延长12.1个月;更值得关注的是,该联合疗法安全性表现优异,长期随访期间未发现新的不良反应。据悉,这是目前全球已报道的针对接受TIL辅助免疫疗法的III期黑色素瘤患者中,随访时间最长的研究。
这项跨越近10年的随访结果,不仅用扎实数据证实了TIL联合IL-2辅助治疗的长期有效性与安全性,更为III期黑色素瘤患者降低复发风险、延长生存期提供了可靠的临床依据,也为过继免疫疗法在实体瘤治疗中的进一步推广注入了强劲信心,让更多患者看到了长期生存的新希望!
最长随访12年!TIL+IL-2联合治疗,让黑色素瘤患者实现"低复发、高生存"
本研究共纳入88例经组织学证实、且未接受过任何系统性辅助治疗的原发性皮肤黑色素瘤患者,入组后随机分为两组:一组接受两次TIL注射联合IL-2治疗,另一组仅接受IL-2治疗。
研究中位随访时间达114.8个月(范围86.5-145.3个月),其中首位与末位接受治疗的患者分别完成了12年和7年的随访。结果显示如下:
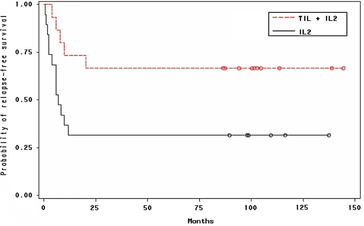
1、无病生存期:TIL联合IL-2组的中位无复发间隔为9.8个月,对照组为8.8个月(详见下图)。

▲图源“Cancer Immunol Immunother”,版权归原作者所有,如无意中侵犯了知识产权,请联系我们删除
进一步分析显示,治疗效果存在淋巴结受侵数量差异——在仅单个淋巴结受侵的亚组(n=34)中,TIL联合IL-2组的估计复发率(5/15)显著低于对照组(13/19)(P=0.0219)(详见下图)。

▲图源“Cancer Immunol Immunother”,版权归原作者所有,如无意中侵犯了知识产权,请联系我们删除
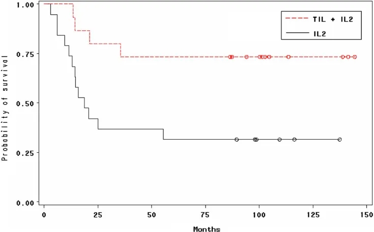
2、生存率:该单淋巴结受侵亚组的生存率结果同样亮眼:TIL联合IL-2组的估计生存率(11/15)显著高于对照组(6/19)(对数秩检验,P=0.0125;详见下图)。

▲图源“Cancer Immunol Immunother”,版权归原作者所有,如无意中侵犯了知识产权,请联系我们删除
上述结果表明,TIL输注效率与肿瘤侵犯淋巴结数量的关联,对患者的无复发生存期(RFS)和总生存期(OS)均有影响;尤其在仅单个淋巴结受侵的患者中,TIL联合IL-2组的RFS(P=0.0219)与OS(P=0.0125)均显著优于单纯IL-2组。
小编寄语
TIL疗法自1988年初次尝试应用于临床以来,已走过三十多年的发展历程,与其他T细胞疗法相比,TIL疗法具有将患者自身的肿瘤组织“变废为宝”的神奇魔力,在治疗实体瘤领域具有独特优势,甚至能帮助部分实体瘤患者实现长期带瘤生存!
我国TILs疗法是在美国的肿瘤浸润淋巴细胞(TIL)疗法的基础上,经过特殊改良,以增加TIL细胞的自我扩增能力,克服肿瘤微环境。近年来,我国多款新型TILs疗法相继问世,尤其是本次登上2024年ASCO大会的两款TILs疗法,不仅疗效惊艳,而且其中一款更是无需清淋、也无需联合IL-2治疗,其安全性大大提升、性价比更高!
好消息是,目前我国多款TILs疗法已正式获批开展临床研究,主要针对非小细胞肺癌、卵巢癌、宫颈癌、恶性黑色素瘤等多款实体瘤。想咨询肿瘤组织储存,或想寻求TIL疗法帮助的患者,可咨询医学部。
参考资料
[1]Khammari A,et al.Long-term follow-up of patients treated by adoptive transfer of melanoma tumor-infiltrating lymphocytes as adjuvant therapy for stage III melanoma. Cancer Immunol Immunother. 2007 Nov;56(11):1853-60.
https://pmc.ncbi.nlm.nih.gov/articles/PMC11030710/







