30年磨一剑!中国改良TIL疗法惊艳ASCO!81%活过6个月,缓解率近50%
小编 2025-09-02
中国改良的TIL细胞疗法惊艳ASCO!帮助81%的患者活过6个月,缓解率近50%
转移性黑色素瘤是一种高度侵袭性的恶性肿瘤,对化疗、放疗等传统治疗手段普遍存在高度耐药性。对于晚期(IIIc期和IV期)患者而言,即便是达卡巴嗪、替莫唑胺等常用化疗方案,无论是治疗反应率还是患者生存率,效果均不尽如人意。因此,为这类患者寻求安全有效的新治疗方案,已成为临床亟待解决的迫切需求。
令人振奋的是,全球权威期刊《临床癌症研究》发表的一项II期临床试验(NCT00338377),为这一困境带来了重要突破:自体肿瘤浸润淋巴细胞(TIL)疗法的出现,不仅为一线、二线治疗均告失败的转移性黑色素瘤患者提供了切实有效的治疗选择,更重新点燃了他们的生存希望!
这一突破不仅打破了晚期转移性黑色素瘤“传统治疗耐药、无药可医”的僵局,更标志着黑色素瘤治疗在免疫细胞疗法领域迈出了关键一步。随着TIL疗法研究的不断深入,未来必将为更多陷入治疗绝境的黑色素瘤患者,铺就一条通往长期生存的新道路!
TIL疗法助黑色素瘤患者长期控瘤,客观缓解率近50%,总生存率81%远超化疗
本研究共纳入31例中位年龄46岁的黑色素瘤患者。入组后,患者均先接受环磷酰胺联合氟达拉滨的淋巴细胞清除预处理,随后接受体外扩增的自体肿瘤浸润淋巴细胞(TIL)回输+白细胞介素-2(IL-2)联合治疗。
结果显示:依据免疫相关缓解标准(irRC),48.4%(15/31)的患者实现客观缓解(ORR),其中12例肿瘤负荷减少超70%,4例可测量肿瘤负荷完全消失(图2),另有2例(6.5%)患者达到完全缓解(CR)。
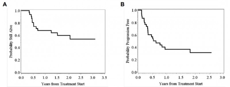
此外,31例患者的中位无进展生存期(PFS)为7.6个月(95%CI:4.1-22.2个月,详见下图B);15例客观缓解患者中,9例(60%)的无进展生存期(PFS)超12个月,彰显疗效的持久性。研究结束时,中位总生存期(OS)尚未达到(详见下图A),但6个月OS率达81%(95%CI:62%-91%)、6个月PFS率达57%(95%CI:38%-73%),显著优于传统化疗效果。

▲图源“AACR”,版权归原作者所有,如无意中侵犯了知识产权,请联系我们删除
值得一提的是,研究中多例患者的治疗表现尤为亮眼:
患者#2175虽未达到客观缓解,但疾病稳定(SD)状态持续超29个月,提示TIL治疗或能为部分患者带来长期控瘤效果。
患者#2262在TIL治疗后2个月出现小脑转移灶,经手术切除后继续随访,22个月内未再进展,且原发部位肿瘤持续缩小——治疗18个月时,附着于主动脉和心脏的巨大肿瘤体积缩减超60%,PET扫描显示残余病灶无代谢活性,至研究结束时肿瘤负荷进一步缩小75%(详见下图)。

▲图源“AACR”,版权归原作者所有,如无意中侵犯了知识产权,请联系我们删除
另有两例代表性患者(#2150/2153、#2054/2256)的CT影像显示,TIL治疗1个月后其内脏及体表肿瘤即显著退缩,其中患者#2054/2256的腹部肿瘤在18个月内持续缩小,下图A显示了患者#2150/2153治疗1个月后,右肩皮下肿块及腹股沟淋巴结病变的变化。下图B显示了患者#2054/2256接受TIL输注1个月及18个月后,腹部肿瘤的变化。

▲图源“AACR”,版权归原作者所有,如无意中侵犯了知识产权,请联系我们删除
小编寄语
TIL疗法自1988年初次尝试应用于临床以来,已走过三十多年的发展历程,与其他T细胞疗法相比,TIL疗法具有将患者自身的肿瘤组织“变废为宝”的神奇魔力,在治疗实体瘤领域具有独特优势,甚至能帮助部分实体瘤患者实现长期带瘤生存!
我国TILs疗法是在美国的肿瘤浸润淋巴细胞(TIL)疗法的基础上,经过特殊改良,以增加TIL细胞的自我扩增能力,克服肿瘤微环境。近年来,我国多款新型TILs疗法相继问世,尤其是本次登上2024年ASCO大会的两款TILs疗法,不仅疗效惊艳,而且其中一款更是无需清淋、也无需联合IL-2治疗,其安全性大大提升、性价比更高!
好消息是,目前我国多款TILs疗法已正式获批开展临床研究,主要针对非小细胞肺癌、卵巢癌、宫颈癌、恶性黑色素瘤等多款实体瘤。想咨询肿瘤组织储存,或想寻求TIL疗法帮助的患者,可咨询医学部。
参考资料
[1]Tumor-Infiltrating T. Specific Lymphocyte Subsets Predict Response to Adoptive Cell[J]. Clin. Cancer Res, 2012, 18: 6758.
https://aacrjournals.org/clincancerres/article/18/24/6758/181124/Specific-Lymphocyte-Subsets-Predict-Response-to







