国产实体瘤CAR-T迎来重大进展!猛攻胰腺癌、胃癌、肝癌、间皮瘤等难治性肿瘤!
小编 2022-08-04
国产CAR-T疗法猛攻胰腺癌、胃癌、肝癌、间皮瘤等难治性肿瘤
2022年6月1日,美国癌症研究所Samik Upadhaya博士等学者对当前的癌症细胞治疗前景、研发管线及临床试验做了深入分析,其中CAR-T疗法又拔得头筹!

截止到2022年4月15日,全球免疫肿瘤学管线中有2756种处于活跃开发状态的细胞疗法,比2021年同期增长36%。其中,CAR-T细胞疗法独占鳌头,数目最多,相比去年增长24%。基于自然杀伤细胞(NK)疗法的增长幅度也放缓,与去年相比增长55%。
而非T细胞和NK细胞的其他细胞疗法(如树突状细胞、干细胞或髓系细胞等)增长迅速,与去年相比,增长了129%。其中,基于抗原递呈细胞/树突状细胞、干细胞的细胞疗法占50%以上。

图示为全球免疫肿瘤学管线概况
值得一提的是,同种异体疗法的发展在去年的发展速度(33%)比自体疗法更快(23%),这可能由于NK细胞、巨噬细胞等先天免疫细胞更适用于同种异体疗法的开发,也预示着同种异体疗法是未来的发展趋势。
在热门靶点方面,与2021年一样,CD19、BCMA、CD22、CD20、CD123仍然是血液肿瘤领域最常见的靶标;在实体瘤方面,肿瘤相关抗原 (TAA)、HER2、间皮素 (MSLN)、GPC2/3、EGFR是最常见的靶向蛋白。

血液肿瘤和实体瘤细胞疗法的主要靶点
值得一提的是,实体瘤临床试验涨幅超过血液肿瘤。根据ClinicalTrials.gov提供的数据,截止到2022年4月,将近有1800项细胞临床试验正在进行,相比去年增长33%;其中针对实体瘤的临床试验占比为43%,相比去年增幅为44%,可谓是达到历史新高,超过血液肿瘤的涨幅(相比去年增长25%),这意味着CAR-T疗法正在逐渐拓宽实体瘤领域。

血液肿瘤及实体瘤细胞疗法临床试验数据(蓝色为血液肿瘤、橙色为实体瘤)
国产实体瘤CAR-T再度发力,猛攻胰腺癌、胃癌、肝癌、间皮瘤等难治性肿瘤
作为一种“活的”药物,CAR-T疗法与传统药物有着很大的区别。它是一种治疗肿瘤的新型精准靶向疗法。通过基因工程技术将T细胞激活,并装上定位导航装置CAR(肿瘤嵌合抗原受体),将T细胞这个普通“战士”改造成“超级战士”,即CAR-T细胞,专门识别体内肿瘤细胞,并高效杀灭肿瘤细胞,从而达到治疗恶性肿瘤的目的。与传统的化疗和造血干细胞移植相比,它对肿瘤细胞的杀伤更为精准,在提高疗效的同时大幅减轻了毒副作用。
目前,随着2021年阿基仑赛注射液、瑞基奥仑赛注射液先后在中国获批上市,2022年西达基奥仑赛被美国FDA获批上市,CAR-T疗法已进入井喷期。这项技术在治疗各种恶性肿瘤方面取得了巨大进展,已成功应用于多种血液恶性肿瘤的治疗。

目前国内外已上市的CAR-T细胞疗法
然而,面对占比90%以上的实体瘤治疗领域,CAR-T疗法同样存在巨大的临床需求。值得一提的是,在实体肿瘤方面如消化系统肿瘤领域CAR-T取得了一定的疗效,包括食管癌、胃癌、肝癌、结直肠癌、胰腺癌、胆管癌等。
而CAR-T疗法用于实体瘤的关键点就是实体瘤靶点的选择,目前目前临床在研的CAR-T项目涉及的靶点分布情况,以2022年最新的全球癌症数据为例,主要集中在GPC3、Claudin18.2、MSLN等热门靶点上。今天无癌家园小编就列举些目前国内已经发表的关于CAR-T疗法治疗各大实体肿瘤的临床研究,以供各位癌友们参考。
TOP1、Claudin18.2
Claudin18.2(CLDN18.2)是Claudin蛋白质家族的一员,位于细胞膜表面,正常情况下仅低水平表达于胃粘膜分化上皮细胞,但在病理状态下,Claudin18.2在多种肿瘤中有的表达显著上调,包括80%的胃肠道腺瘤、60%的胰腺肿瘤。此外,CLDN 18.2活化还可见于食管癌、卵巢癌和肺腺癌中,因此是具有潜力治疗癌症的热门靶点。
据无癌家园小编查阅ClinicalTrials及CDE(国家药监局)发现,目前批准临床的Claudin18.2产品就多达几十款,多数药物均是拟用于治疗晚期胃癌、胰腺癌及实体瘤患者。

因该靶点在正常组织中的高度特异性表达,再加上在多种癌症中的激活表达,使得Claudin18.2蛋白成为了研究人员开发胃癌、胰腺癌等实体瘤免疫疗法的理想靶点。同时,由于胰腺癌、胃癌是国内的一大瘤种,Claudin 18.2靶点有望实现胃癌及胰腺癌新靶点药物的瓶颈突破。
01、胃癌、胰腺癌
作为国际上首个针对Claudin18.2的CAR-T细胞,CT041早在2019年ASCO年会上就崭露头角,当时总客观缓解率为33.3%就已经惊艳世界,如今更加显著的疗效无疑是锦上添花!此次的临床数据展现出对消化系统肿瘤的良好治疗前景!
国产CAR-T疗法CT041闪耀国际
2022年5月9日,科济药业CAR-T细胞产品CT041治疗消化系统肿瘤的研究结果发表在国际顶级期刊《Nature Medicine》杂志上,这也算是首个发表于顶级学术期刊的迄今为止最大样本量的CAR-T细胞治疗实体瘤的临床研究!
研究数据格外亮眼!
1. 所有患者的客观缓解率达48.6%,疾病控制率达73%;所有胃癌患者总客观缓解率为57.1%,疾病控制率达75.0%。
2. 既往接受至少2线治疗失败的胃癌患者:客观缓解率为61.1%,疾病控制率为83.3%。
3. 而且总体耐受性良好!
除此之外,还有多款靶向CLDN18.2的CAR-T细胞疗法。例如,由传奇生物研发的LB-1904,用于治疗胃癌或者胰腺癌,目前已经进入临床I期试验。此外,我国自主研发的首个针对Claudin18.2的单抗AB011,用于治疗晚期胃腺癌及实体瘤患者,目前也正在进行临床试验招募中。
目前急招B细胞淋巴瘤、T细胞淋巴瘤、T细胞白血病(T-ALL)、急性淋巴细胞白血病、非霍奇金淋巴瘤、肝癌、胃癌、前列腺癌、甲状腺癌、间皮瘤、卵巢癌等癌种!
想要评估病情是否能够接受CAR-T疗法可将病理报告、治疗经历及出院小结等提交至无癌家园医学部进行初步评估!
TOP2、间皮素(Mesothelin)
间皮素(MSLN)在肿瘤中的表达非常广泛,约有95%恶性间皮瘤,80%~85%胰腺癌,68.8%卵巢癌和53%肺癌表达间皮素。MSLN高表达调控了多种细胞信号通路,并与肿瘤增殖、侵袭和不良预后有密切联系。MSLN也是三阴性乳腺癌特征性标志物,而三阴性乳腺癌对单抗药物几乎无敏感性,MSLN CAR-T细胞有望成为三阴性乳腺癌仅有的免疫治疗药物。
恶性胸膜间皮瘤
2021年11月,来自美国的医学研究者们发布了一项CAR-T联合PD-1抑制剂的临床试验的I期结果在知名《Cancer Discovery》杂志上,主要阐述了以间皮素为靶点的自体CAR-T细胞与帕博利珠单抗(pembrolizumab,商品名Keytruda)联用治疗恶性胸膜间皮瘤(MPM)的临床疗效。

间皮素高表达于多种肿瘤组织,比如胰腺癌、卵巢癌、乳腺癌、子宫内膜癌、前列腺癌以及胆管癌等(图片来源 PNAS)
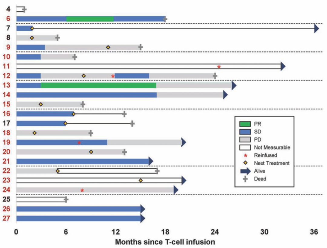
在此项临试验中,共纳入27例患有胸腔肿瘤的患者接受治疗,其中转移性肺腺癌1例,转移性乳腺癌1例,其余均为恶性胸膜间皮瘤患者。
27例患者中,有23例恶性胸膜间皮瘤患者在CAR-T治疗前进行环磷酰胺预处理,其中有18例患者接受CAR-T联合pembrolizumab治疗,5例仅接受CAR-T治疗。值得一提的是,所有患者均接受过一轮既往治疗,33%的患者接受过≥3轮的既往治疗。
需要指出的是,恶性胸膜间皮瘤是一种PD-L1表达及肿瘤突变负荷均较低的恶性肿瘤,前期的临床试验也证明患者不能受益于PD-1/PD-L1免疫抑制剂的单药治疗。
入组的患者从确诊到接受CAR-T治疗平均间隔6.1个月,从CAR-T治疗到开始帕博利珠单抗治疗平均间隔6周。令人惊喜的是,在3×105~6×107/kg的CAR-T剂量范围内,研究人员并没有发现剂量限制性毒性。没有患者出现二级以上细胞因子风暴、神经系统毒性、及脱靶导致的副作用。
在确保安全性和持续性良好的细胞制品的前提下,临床效果也让人格外惊艳!
23例接受治疗的恶性胸膜间皮瘤患者中,CAR-T治疗后的中位生存期为17.7个月,一年存活率为74%。而在18名接受了CAR-T+帕博利珠单抗联合治疗的患者中,中位生存期达到了23.9个月,一年存活率为83%。
更惊人的发现是,靶向间皮素的CAR-T疗法有望在恶性胸膜间皮瘤患者中实现长期的疾病缓解。在治疗后第4~6周的影像检查中(n=16),有12.5%的患者的疗效达到了部分缓解,56.3%的患者为疾病稳定。在疾病稳定或部分缓解的患者中,有8名患者能够维持疾病状态超过6个月。

23例恶性胸膜间皮瘤患者疗程及疗效
目前,该研究团队正在开展针对上述疗法的临床II期试验。在II期试验中,研究人员使用了最大试验剂量6×107/kg作为CAR-T给药剂量,并规定CAR-T给药四周后开始帕博利珠单抗联合治疗,让我们拭目以待更好的临床数据公布!
靶向MSLN(间皮素)的CAR-T细胞疗法及CAR-NK疗法临床试验正在招募患者,有意向的间皮瘤患者及其他实体瘤患者可通过无癌家园医学部提交病理报告、治疗经历及住院小结等资料初步评估是否可以采用此疗法。
病例分析
患者A:一名 76岁的上皮样恶性胸膜间皮瘤患者仅使用 CAR-T细胞疗法就使靶病变减少28%(如图),随后在PET扫描和CT扫描上出现完全代谢反应,帕博利珠单抗治疗后靶病变减少78%(如图),这种反应持续了26个月。患者的血清SMRP(间皮素相关蛋白)水平保持在基线水平,患者功能保持良好。

患者A的治疗反应
患者B:一名双相恶性胸膜间皮瘤的72岁患者,观察到PET扫描和CT扫描的部分缓解相似的完全代谢反应(mRECIST;目标病变减少 40%),如图所示。这种反应在没有其他治疗的情况下持续了16个月,患者功能正常,体重增加并保持不变,血清SMRP水平也保持在基线水平。

患者B的治疗反应
患者C:一名患有晚期 4 期疾病的上皮样 MPM 患者在胸腔内注射 CAR-T细胞联合疗法后 71 天接受了胸腔和脊柱姑息性放射治疗以治疗疾病进展。患者进一步的临床过程显示,100 天后,与外周血中重新检测到CAR-T细胞相关的胸部肿瘤减少。

患者C的治疗反应
患者D:一名患有上皮样MPM的 70 岁患者,疾病复发并伴有广泛转移(先前的 4 条治疗线)接受了CAR-T细胞联合pembrolizumab治,mRECIST发现靶病灶减少。

患者D的治疗反应
胰腺癌
国际知名杂志《Journal of Hematology & Oncology》刊登了我国医学研究者们的一项成功改造CAR-T技术的临床研究,研究中提及的CAR-T产品选择的靶点有mesothelin。
其中1例晚期胰腺癌患者,接受的是静脉回输的CAR-T治疗,治疗后全身的病灶,基本都实现了代谢活性完全消失。
典型病例
受试者GD-G/M-005 是一例具有 MSLN 表达的晚期胰腺癌患者。该受试者进展为局部淋巴结转移(24×33 mm)(图c)。抗 MSLN-7 × 19 CAR-T 细胞首先通过肝动脉输注,当晚伴有高烧,没有细胞因子释放综合征 (CRS) 或神经毒性。随后,他每1~2个月接受一次抗 MSLN-7×19 CAR-T 细胞的静脉输注。
直到增至CAR-T细胞输注的5倍,CT分期显示他在治疗240天后达到完全缓解,测定的淋巴结为8.3×9.6mm,并未见其他肿大的淋巴结(图C),患者此时病灶完全消失,保持正常状态。

TOP3、GPC3
磷脂酰肌醇蛋白聚糖3(glypican 3,GPC3)在调控细胞生长和分化方面起重要作用,与肝癌的发生、发展密切相关。GPC3在肝细胞癌、卵巢透明细胞癌、卵黄囊癌等生殖系统肿瘤中表达,其在肝细胞癌中的表达率达74.8%,而在正常肝组织内几乎无表达,称为肝癌CAR-T治疗新的理想靶点。
肝癌
由上海交通大学医学院附属仁济医院肿瘤介入科科主任翟博教授团队等完成的突破性研究成果,发表在2020年5月5日的国际权威期刊《Clinical Cancer Research(临床肿瘤研究)》上。
截止到2019年7月24日,共有13例患者接受了中位值为19.9×108的CAR-GPC3 T细胞。所有患者均为GPC3阳性,均接受过手术治疗、局部治疗或全身性的系统治疗,都携带乙型肝炎病毒(HBV)。
其中有2例患者获得部分缓解(PR),所有患者6个月、1年和3年的生存率分别为50.3%、42.0%和10.5%,中位生存时间(OS)为278天(39.7周)。
2021年ASCO年会上我国医学研究者们首次公布了靶向GPC3的CAR-T药物(Ori-CAR-001)治疗复发/难治性肝细胞癌的最新临床研究数据。
截至2021年3月10日,共纳入11名接受细胞输注的复发受试者。所有受试者均患有晚期肝细胞癌,并且经过化疗、TACE(肝动脉化疗栓塞术)和靶向治疗均无效。9例可评估受试者中,4例达到部分缓解 (PR),3例达到疾病稳定 (SD),2例出现疾病进展 (PD),客观缓解率为44%,疾病控制率达到78%。
典型病例
具有GPC3表达的晚期肝细胞癌患者
受试者GD-G/M-001是一例具有GPC3表达的晚期肝细胞癌患者,在研究中选择3个转移性病变进行计算机断层扫描(CT)引导的CAR-T细胞的瘤内注射。
CAR-T细胞注射60天后,虽然2个肺部结节的尺寸没有显著的改变,但在第10天时肝脏肿瘤病变(1.2×1.3cm)显著收缩,注射GPC3-7×19 CAR-T细胞第32天后则完全消失。
患者没有任何毒性作用,并且根据 CT 上的标准实体瘤反应评估标准 (RECIST) 1.1 版进行了分期评估,显示部分缓解 (PR)。

延伸招募
乙肝相关性肝癌如何寻求TCR-T细胞治疗>>
目前无癌家园正在对一款新加坡TCR-T疗法的临床试验进行乙肝相关性肝癌患者的招募,想要参加的患者可以咨询无癌家园医学部了解详细入排标准。
【主要纳入标准】
1. 患有原发性肝细胞癌
2. 有慢性乙肝感染史
3. 不适合常规治疗或常规治疗无效
4. 无肝硬化或仅有代偿性肝硬化
5. 未发生肝癌脑转移
小编有话说
消化系统肿瘤占人体肿瘤的比例很大,尤其在我国占所有肿瘤的一半左右,因此亟待找到有效针对消化系统肿瘤的治疗手段。针对GPC3、Claudin18.2、MSLN等靶点的CAR-T细胞为肝癌、胃癌、胰腺癌等消化系统肿瘤提供了潜在的治疗手段。另外再加上TCR-T疗法、TILs疗法、CTL疗法的加持,各大T细胞疗法纷纷向最难治的癌种发起猛攻!
总之,无癌家园小编相信,随着T细胞疗法的不断衍化,在不久的将来肯定会有更安全更高效的细胞免疫疗法成功用于治疗消化系统肿瘤,尤其是最难治的几大癌种,从而大大延长患者的生存期!







