EGFR耐药肺癌有救了!SNK01联合疗法让半数患者肿瘤缩小,二三线均有效
小编 2025-10-17
EGFR突变且奥希替尼耐药后怎么办?SNK01联合疗法让半数患者肿瘤缩小,二三线均有效
对于EGFR突变且奥希替尼耐药的非小细胞肺癌(NSCLC)患者,目前临床治疗选择有限。而自然杀伤细胞(NK细胞)是先天性肿瘤免疫监视的关键,近期研究发现,西妥昔单抗可同时结合肿瘤细胞与NK细胞,通过抗体依赖性细胞毒作用(ADCC)增强其活性,为这类患者提供治疗新选择。
近期,《癌症免疫治疗杂志》报道的I/IIa期研究(NCT04872634),评估了SNK01(NK细胞)联合细胞毒性化疗和/或西妥昔单抗治疗EGFR突变TKI耐药NSCLC的效果,该联合方案(含西妥昔单抗)治疗此类患者时,安全性良好且具潜在抗肿瘤作用,进一步验证了上述机制的临床价值。

▲截图源自“BMJ”
SNK01联合疗法暴击非小细胞肺癌,100%疾病控制,50%客观缓解,中位无进展生存达143天
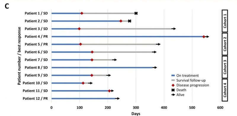
该I/IIa期临床试验共纳入12例既往TKI治疗失败的复发或转移性EGFR突变NSCLC患者,均为腺癌,中位年龄60.9岁。耐药类型分布为:58.3%(n=7)奥希替尼耐药、4例吉非替尼耐药、1例阿法替尼耐药。患者分为两组接受治疗:6例接受SNK01(NK细胞产品)联合吉西他滨/卡铂,另6例接受SNK01联合西妥昔单抗(抗EGFR单克隆抗体)+吉西他滨/卡铂。结果显示如下:
1、客观缓解率(ORR):全部入组患者(n=12)的ORR 为 25%。其中,SNK01联合西妥昔单抗/吉西他滨/卡铂组的ORR 更是高达50%。
2、疾病控制率(DCR):全部入组患者(n=12)的疾病控制率(DCR)竟达到100%!其中3例患者达到部分缓解(PR),9例患者达到病情稳定(SD)。

▲图源“BMJ”,版权归原作者所有,如无意中侵犯了知识产权,请联系我们删除
3、中位无进展生存期(PFS):全部入组患者(n=12)的中位PFS长达143天。其中,SNK01 联合西妥昔单抗/吉西他滨/卡铂组的PFS更是长达145(范围:114–N/E)天;SNK01联合吉西他滨/卡铂组的PFS为143天(范围:107–246)。

▲图源“BMJ”,版权归原作者所有,如无意中侵犯了知识产权,请联系我们删除
值得一提的是,其中一位腺癌患者在对吉非替尼产生耐药性后,接受SNKO1联合西妥昔单抗/吉西他滨/卡铂作为二线治疗,影像学检查显示,治疗后该患者病灶显著缩小(详见下图)。

▲图源“BMJ”,版权归原作者所有,如无意中侵犯了知识产权,请联系我们删除
另一例患者,在左上肺叶切除术2年后腺癌复发(活检证实),在先前的吉非替尼和奥西替尼治疗失败后,接受SNKO1联合西妥昔单抗/吉西他滨/卡铂作为三线治疗。影像学检查示,治疗后病灶明显缩小(详见下图)。

▲图源“BMJ”,版权归原作者所有,如无意中侵犯了知识产权,请联系我们删除
小编寄语
NK细胞能在第一时间发现并启动机体的免疫防御机制,及时发现并将癌细胞扼杀在“摇篮”,是公认的人体抗癌第一道防线。小编也希望这篇文章能让更多癌友了解NK细胞的前沿进展,并期待NK细胞在临床应用中能获得更多的突破,让更多的晚期肿瘤患者获益!
如果您对目前的治疗方案不满意,或想寻求NK细胞、CAR-NK细胞等国内外其他抗癌新技术的帮助,可咨询医学部,详细评估病情或申请国内外专家会诊。
参考资料
[1]Choi M G,et al.Safety and efficacy of SNK01 (autologous natural killer cells) in combination with cytotoxic chemotherapy and/or cetuximab after failure of prior tyrosine kinase inhibitor in non-small cell lung cancer: non-clinical mouse model and phase I/IIa clinical study[J]. Journal for Immunotherapy of Cancer, 2024, 12(3).
https://jitc.bmj.com/content/12/3/e008585







