8个月内三次进展?选对方案却能长期获益!双突变肺癌患者的治疗更要注意
小编 2021-12-13
肺癌双基因突变选对方案能长期获益,两个基因突变的肺癌患者的治疗更要注意
EGFR与其它突变共同存在,该怎么治疗?
非小细胞肺癌的靶向治疗,已经覆盖了超过9类的突变亚型,有潜力的靶点更多。大多数驱动基因突变的患者,都有可以使用的靶向治疗药物,或有希望通过新药获得治疗。
但是,仍然有一少部分患者,同时存在两种或多种能够用于靶向治疗的驱动基因突变。这种情况比较罕见,因而相关的研究也比较少,患者的临床特征、最优治疗方案以及预后都不是很明确。
我们搜集了一些相关的文献报道,带大家一起了解一下,这些数量较少、但治疗需求庞大的患者群体的治疗情况。
双驱动基因突变发生率如何
上海胸科医院于2021年6月发表了一篇统计研究[1],分析了3077例非小细胞肺癌患者接受二代测序(NGS)的结果。其中,46例患者(1.5%)同时存在两种或多种驱动基因突变。
这些患者中,80%的患者(37/46)为EGFR突变与其它驱动基因突变的组合,其中包括EGFR+MET(21.6%;8/37)、HER2突变(27%;10/37)、HER2扩增(21.6%;8/37)和KRAS、ALK、MET外显子14跳跃突变、NTRK、RET等。其它突变组合的患者,则是涉及了HER2、KRAS、MET、ALK和RET等等。

这部分患者的生存情况如何
那么,这部分患者接受常规靶向治疗的疗效如何呢?
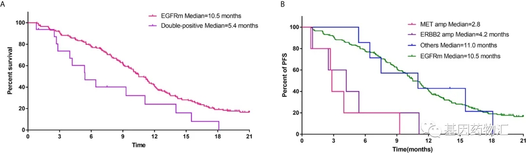
以EGFR与其它驱动基因共突变的患者为例。与单独EGFR突变的患者相比,共突变患者的中位无进展生存期明显更短(5.4个月 vs 10.5个月)。
其中,部分共突变类型的患者生存期更不理想,包括MET扩增(2.8个月 vs 10.5个月)、HER2扩增(4.2个月 vs 10.5个月)等,患者的无进展生存期更短。不过其它突变与单独EGFR突变的患者相比,无进展生存期方面没有明显的差异(11.0个月 vs 10.5个月)。

那么,这部分患者,究竟应该怎样治疗,才能获得更长的生存期呢?
让我们通过几个案例来了解一下。
案例一[2]
患者男性,54岁,无吸烟史,2017年3月确诊为Ⅳ期肺腺癌(cT3N3M1a),存在双肺、纵隔及颈部淋巴结转移,病理活检结果显示TTF-1(+)、NapsinA(+)、CK5/6(-)、TG(-)、ALK(-)、ROS-1(-),二代测序(NGS)结果显示存在EGFR外显子19缺失,不存在KRAS突变。
随后患者接受了吉非替尼治疗,右肺的病灶取得了部分缓解。至2017年9月复诊时,患者疾病进展,在右肺中叶出现了新发的病灶,活检再次显示了EGFR外显子19缺失及ERBB3(HER3)突变。
患者再次接受了阿法替尼的治疗,但效果并不理想;2017年12月,患者改用化疗方案(培美曲塞+顺铂+贝伐珠单抗),短暂取得部分缓解后再次进展。
此时的活检结果提示,患者出现了EGFR T790M突变。这是一种常见的、第一二代EGFR抑制剂耐药突变,因此患者使用了第三代EGFR抑制剂奥希替尼。
至2018年10月,患者疾病再次进展。这一次,患者的活检结果显示已经不再存在EGFR突变,但查出了KRAS外显子3(R68S)突变。
这一次,患者选择了免疫+化疗的方案,即纳武单抗+白蛋白紫杉醇方案,取得了缓解,时间长达18个月。

病例二[3]
这次的病例来自越南。患者男性,39岁,无吸烟史,2019年8月确诊Ⅳc期肺腺癌,存在双侧肺、颅脑、淋巴结及骨转移等广泛的转移。二代测序(NGS)检测显示患者为EGFR外显子19缺失以及ALK-EML4融合双突变。
这位患者的治疗经过非常复杂。他首先接受了第二代ALK抑制剂色瑞替尼的治疗(越南没有艾乐替尼),缓解持续了3个月。

但脑部病灶治疗效果不佳,因此患者再次接受了脑部放疗。随后,在第4个月时,患者的疾病进展。

随后的二线治疗,患者改用了第一代EGFR抑制剂厄洛替尼。治疗3个月后,患者症状明显好转,但有癫痫发作,脑部病灶控制仍然不佳。

这一次的三线治疗中,患者改用第三代EGFR抑制剂奥希替尼,希望能够对脑转移病灶有更好的控制。果然,治疗1个月,脑内病灶很稳定——但纵隔淋巴结又增大了!

当时,患者的基本情况也很差,ECOG评分仅有3分,完全无法耐受化疗。经过综合的考虑,医生决定冒险,给患者使用色瑞替尼+奥希替尼的双靶向药物联合方案。
结果竟然非常的理想!仅2个月,淋巴结缩小,脑转移病灶控制稳定,患者达到了临床部分缓解。

至文章发表时,患者已经接受了超过11个月的治疗,效果非常理想。从症状的角度来说,患者的呼吸道症状明显改善,不再咳嗽,连胸痛和右半身麻痹等症状也有了缓解,只有很轻微的皮疹等不良事件。
不知道大家看过上面两个病例之后,有什么思考呢?
第一个病例当中,患者在病情的进展过程中出现了EGFR+HER3的双驱动基因突变,使用第二代EGFR抑制剂阿法替尼治疗,效果并不理想。
第二个病例中,患者为EGFR+ALK双驱动基因突变,分别尝试了EGFR抑制剂和ALK抑制剂之后疗效都不理想,短短8个月(从2019年8月确诊,至2020年4月换用最后的色瑞替尼联合奥希替尼方案之前)内多次进展,直到医生尝试性地使用了EGFR与ALK两类抑制剂的联合方案,才终于达到了长久的缓解。
显然,当患者存在两种或更多种驱动基因突变的时候,治疗中绝对不能忽视其中任何一个,应当充分参考基因检测的结果,综合进行考虑。
当然,从这些案例当中我们也可以看出,作为基因检测的权威的二代测序(NGS),对于非小细胞肺癌患者的治疗,有着指导性的意义。权威的检测,才能指导一个完善的方案的提出。
如果大家想要完善权威的基因检测,或希望得到关于现有检测结果的权威指导,或希望申请药物临床试验,可以联系基因药物汇-临床新药招募中心获取帮助。
我们还有专门针对需要进行基因检测、并且希望申请临床试验的癌症患者的方舟援助计划,为患者的检测提供资金援助。
参考文献/文中案例及图片来源
[1] Zhao Y, Wang S, Yang Z, Dong Y, Wang Y, Zhang L, Hu H and Han B (2021) Co-Occurring Potentially Actionable Oncogenic Drivers in Non-Small Cell Lung Cancer. Front. Oncol. 11:665484. doi: 10.3389/fonc.2021.665484
[2] Xiu W, Zhang Q, Yu M, Huang Y and Huang M (2021) Case Report: Outcome of Osimertinib Treatment in Lung Adenocarcinoma Patients With Acquired KRAS Mutations . Front. Oncol. 11:630256. doi: 10.3389/fonc.2021.630256
[3] Nguyen T, H, T, Pham X, D, Dao K, L, Vo T, T: Response to a Combination of Full-Dose Osimertinib and Ceritinib in a Non-Small Cell Lung Cancer Patient with EML4-ALK Rearrangement and Epidermal Growth Factor Receptor Co-Mutation. Case Rep Oncol 2021:1085-1091. doi: 10.1159/000516404







